
Recently, in Thomas Hansen’s lab-meeting in Oslo, we discussed an interesting article published in PLoS Genetics (Population-based resequencing of experimentally evolved populations reveals the genetic basis of body size variation in Drosophila melanogaster). I thought I should share with you some points we discussed during this meeting, as many aspects of this study are probably of interest for you too.
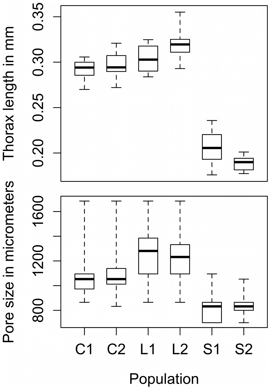
1. First, one thing we really liked in this study has to do with the experimental design. To select for size they used a sieving apparatus to “filter” anesthetized flies through a series of sequentially smaller sieves. It is both elegant and simple, and could potentially inspire application in other systems that would potentially save a lot of time (including isopods for that matter).
2. Another interesting issue is to see that apparently their selection experiment partly failed as they did not observe very significant changes in size at least in one direction (increase, which is usually the “easiest”). This tells us that even with drosophila, sometimes things don’t always go smoothly, but still we were unable to really find a good explanation for this result. However, this means that what they found at the genomic level is just an underestimation of the real genetic basis for size in this species, which adds to the other point I develop below.
3. The last point we discussed, which is maybe the most interesting, is the issue of the “infinitesimal model”. The "infinitesimal model," originated by Fisher, assumes that contributions to the genetic variance are additive, relatively small and coming from many loci. The multiplication of QTL studies and other genomic approaches this last years has led to numerous discussions questioning this model, assuming that the reason for the lack of evidence for phenotypic traits controlled by few loci was more or less technological. We have ourselves discussed this issue in this very blog including when studies about human height and some QTLs found to explain just a few percents of variation. Well in light of this article it seems that it is again the case in drosophila, as control for height is seems to be largely polygenic, and the estimates presented here are even a low estimate as the methodology used is quite conservative (polymorphisms with population frequencies under 10% were not even analyzed further, and still they found hundreds of loci implicated in size evolution). So again, the “infinitesimal model” is not obsolete at all, and should tell us that combining genomics with quantitative genetics and selection analyses should be promoted like in this article. Of course, some QTL studies might work very well and find interesting results, I am not contesting this fact, but it is not the first time that even for a simple trait such as size and in other species as well, these kind of approaches show that many loci are responsible for the variation in one trait observed at the phenotypic level. On a related issue, we also thought the future path in genomics should not necessarily be to find loci under selection (as more or less everything will be “significantly” under selection now that 454- sequencing and its future replacements have become very efficient tools to generate large amounts of data) but to develop statistical models that will be able to estimate the “strength” of selection on certain genomic reasons and to relate it to phenotypes and their natural history. Well, we'll see...
ABSTRACT: Body size is a classic quantitative trait with evolutionarily significant variation within many species. Locating the alleles responsible for this variation would help understand the maintenance of variation in body size in particular, as well as quantitative traits in general. However, successful genome-wide association of genotype and phenotype may require very large sample sizes if alleles have low population frequencies or modest effects. As a complementary approach, we propose that population-based resequencing of experimentally evolved populations allows for considerable power to map functional variation. Here, we use this technique to investigate the genetic basis of natural variation in body size in Drosophila melanogaster. Significant differentiation of hundreds of loci in replicate selection populations supports the hypothesis that the genetic basis of body size variation is very polygenic in D. melanogaster. Significantly differentiated variants are limited to single genes at some loci, allowing precise hypotheses to be formed regarding causal polymorphisms, while other significant regions are large and contain many genes. By using significantly associated polymorphisms as a priori candidates in follow-up studies, these data are expected to provide considerable power to determine the genetic basis of natural variation in body size.
Take care,
Fabrice.



